728x90
1) 내적의 표기 (notation and symbol of the inner product)
- 두 벡터의 내적(inner product)은 「.」(dot)으로 표기하며, 이래서 점곱(dot product)이라고도 말함
- 혹은, (a, b)와 같이 표기함
- 결과값이 (벡터가 아닌) 스칼라이기 때문에 스칼라곱(scalar product)이라고도 함
- 벡터의 cosine값(해당 벡터을 선으로 보고, 해당 선에 직사광선이 쏘아졌을 때(projection되었을 때)의 그림자의 길이)를 사용해 계산하기 때문에 영사곱(projection product)이라고도 함
2) 내적의 계산
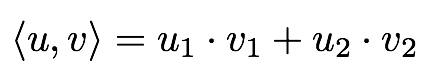
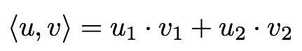
- 각 vector component끼리 곱해서 모두 더함

2차원에서는 다음과 같이 표현됨

또는 아래와 같이 표현 가능

- 단위 벡터(unit vector)로 내적(inner product)를 할 경우에는, 위 식에서 각각 u,v의 길이가 1이기 때문에 단순히 아래의 식으로 요약 가능하며, 계산값의 범위는 [-1,1] 사이가 된다

반응형